Spain +34 902 117 636 México +52 47 7690 3809
Código de barras GS1 Global
Para garantizar un estándar fiable en la codificación de productos, se creó la organización EPCglobal GS1, siendo AECOC la entidad responsable de gestionar GS1 en España. AECOC es la única organización autorizada para emitir y administrar este código en nuestro país, ampliamente utilizado en diversas industrias.

Una excepción importante es la industria editorial: los editores, productores o autores de obras culturales pueden solicitar al departamento de cultura el código de barras conocido como ISBN, diseñado específicamente para libros, revistas y publicaciones.

Con el estándar GS1, adoptado en más de 105 países, las empresas de todo el mundo pueden identificar con confianza sus unidades comerciales y logísticas. Gracias a los códigos de barras GS1, es posible identificar mercancías, localizaciones, servicios y más. Este estándar es ya un pilar clave en la logística global, permitiendo la identificación eficaz de unidades de consumo, comercio y transporte.

Intercambio de información automatizado
El uso del estándar GS1 ha facilitado enormemente el intercambio automático de información sobre mercancías, localizaciones y sus detalles. A través de la red y utilizando la tecnología EPC, esta comunicación fluida entre empresas es hoy una realidad.

Orígenes de GS1
GS1 nació el 1 de enero de 2005, como resultado de la fusión entre EAN Internacional (European Article Number) y UCC (Uniform Code Council). Esta guía introduce la nueva terminología estandarizada de GS1 para los diferentes tipos de códigos y símbolos, acompañada por la nomenclatura previa a la fusión para facilitar su comprensión.
Para más información sobre cada uno de los conceptos lo invitamos a visitar la página de EPCglobal. http://www.gs1.org EPC o leer este artículo.

1. INTRODUCCIÓN

La funcionalidad de la presente guía es, por un lado, aportar al usuario conocimientos sobre cuáles son los requisitos imprescindibles a tener en cuenta a la hora de generar un código de barras lineal, con el fin de conseguir que éste pueda ser leído al primer intento en el
100% de escáneres del mercado, y por otro, aportar conocimientos en profundidad sobre cómo está estructurada cada simbología estándar.
No es suficiente que el código de barras sea legible, debe serlo al primer intento, ya que en caso contrario, todos los procesos que se llevan a cabo en la cadena de suministros se ven enormemente ralentizados, con las consecuentes ineficiencias que esto supone y que se ven repercutidas en un incremento de costes para todos los miembros de la cadena de suministro
(fabricantes, distribuidores, operadores logísticos, y, sobretodo, el consumidor final). Se han realizado estudios que sitúan las pérdidas por deficiencias en los códigos de barras en más de
1.000 millones de euros.

En este apartado,  se hará referencia a los estándares promovidos por GS1 (anteriormente conocido como EAN/UCC Internacional).

1.1. Codificación VS. Simbolización.

En primer lugar, se debe remarcar cuál es la diferencia entre codificación y simbolización:
La codificación consiste en la asignación de una numeración estándar (GTIN o código
EAN), a un elemento físico, habitualmente productos.
La simbolización consiste en la representación, en este caso mediante el código de barras, del GTIN (Global Trade International Number, antes  EAN o UPC).

Por tanto, en adelante, cuando se mencione símbolo, significará que se hará referencia
a un código representado en barras.


1.2. ¿Por qué se utiliza el código de barras? La funcionalidad del código de barras es la identificación de un elemento físico (productos, facturas, ubicaciones de almacén, estanterías, etc.), de forma que, mediante un lector de código de barras, un sistema informático y una base de datos que contenga toda la información que se quiera asociar a este código, se pueda captar de forma automática toda esta información. De esta forma, se reducen las posibilidades de error debido a la intervención humana y se incrementa la velocidad de captura de los datos.

Existen diversas formas de identificación automática: la banda magnética, RFID (Radiofrecuencia de Identificación ver apartado final RFID), microchips, etc. pero la razón fundamental por la que se ha escogido el código de barras como la forma de identificación automática más utilizada es por su reducido coste.
Disponiendo de un programa de generación de códigos de barras y una impresora, se pueden identificar todos los productos de la empresa. Igualmente, si se opta por una impresión industrial, el coste que supone la inclusión de un código de barras en el fotomontaje del diseño de la etiqueta, es prácticamente despreciable.

1.3. Simbologías estándares.
De la misma forma que existen varias formas de identificación automática, también existen diversas formas de representación de los códigos de barras (en adelante símbolo). No obstante, las simbologías estándares establecidas por GS1 son: UPC-A, UPC-E, EAN-8, EAN- 13, ITF-14 y GS1-128 (EAN-128).

 CÓDIGO SIMBOLOGÍA
 GTIN-13 (EAN-13) EAN-13 o ITF-14 (con 0 inicial)
 GTIN-14 (EAN-14) ITF 14
 GTIN-13 ó GTIN-14 + CARACTERÍSTICAS  GS1-128 (EAN-128)
 GTIN-12 (UPC A) UPC A UPCA
 GTIN-8  EAN 8
 GTIN-12 (reducción de ceros)  UPCE

 Simbologías de cada código estándar

Por tanto, un GTIN-13 (EAN-13) puede simbolizarse con EAN-13, ITF-14 (con 0 inicial) o GS1-128 (EAN-128). Si este producto es susceptible de pasar por el punto de venta detallista, obligatoriamente se deberá simbolizar mediante un EAN-13. Un código GTIN-14 (EAN-14), se puede simbolizar con ITF-14 o GS1-128 (EAN-128), pero nunca con EAN-13. La simbología EAN-13, junto con las simbologías EAN-8, UPC-A y UPC-E, son las únicas que todo punto de venta detallista será capaz de leer. Por tanto, todo producto o agrupación de producto que sea susceptible de ser leído en el punto de venta detallista, deberá ir identificado mediante estas simbologías. No se descarta que algunos lectores de última generación instalados en tienda,puedan llegar a realizar lecturas de otras simbologías.

Aquellos productos cuyo destino es el mercado mayorista, podrán estar identificados indistintamente mediante las anteriores simbologías, la ITF-14 o la GS1-128 (EAN-128)


2. Estructura del código GTIN 13 EAN-13.  

La estructura del código GTIN-13 (EAN-13) es la siguiente:

Se asignan 2 o 3 dígitos como prefijo para el pais, puede consultar la lista de prefijos. El código de empresa lo asigna la asociacion de cada país. El de producto, lo asigna cada empresa que ostenta un determinado codigo obtenido de la asociación. Y el digito de control se calcula con el algotitmo Mod. 103.

2.1. Dimensiones.

Unas dimensiones del símbolo que se ajusten a las recomendaciones de la normativa
de GS1, es una de las claves para garantizar la lectura del símbolo al primer intento. Esta normativa contempla los entornos de lectura de los símbolos (lectura a mayor o menor distancia, a velocidad de paso considerable de la mercancía, etc.), de forma que establece las dimensiones necesarias para garantizar una correcta y rápida lectura.

En simbología GTIN-13 EAN-13, las dimensiones aconsejadas  se reflejan en esta tabla:


2.2. Lectura en el punto de venta detallista.

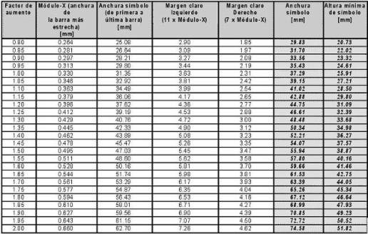
A continuación se muestra la tabla con el rango de factores de aumento permitidos por
la normativa y sus dimensiones, para símbolos EAN-13 legibles en el punto de venta detallista 
Las anchuras máxima y mínimas que figuran en la tabla nunca podrán sobrepasarse. En cambio, en cuanto a la altura de las barras, estas alturas que aparecen en la tabla son mínimas, y sí se podrán sobrepasar.

Sólo si la impresión del símbolo se realiza mediante una impresora de transferencia térmica, se permite un factor de aumento mínimo del 75%. La altura de barras y los márgenes claros son los del factor 80%. Es importante que a ambos lados de las barras haya una zona mínima en blanco (zona de silencio) que evite la erronea lectura de los equipos.

(vea este video con errores que ocurren por la impresión inadecuada de los simbolos)



2.3. Lectura en entorno almacén.

Para el caso de agrupaciones codificadas mediante EAN-13 cuyo símbolo vaya a ser leído en entorno almacén y para el sector Gran Consumo, los requisitos mínimos son:

• un factor de aumento mínimo de 1.5 y  una altura de barras mínima de 38.87 mm.

Para sectores diferentes a Gran Consumo, las dimensiones se reflejan en la tabla superior.

La razón fundamental por la que en el Sector Gran Consumo las dimensiones del símbolo que sea susceptible de ser leído en entorno almacén son mayores a la del resto de sectores es debido a que en este sector, cada vez más se están implantando almacenes totalmente automatizados, donde la mercancía circula por cintas transportadoras, y la identificación de las agrupaciones se realiza a través del símbolo. Para que el proceso sea eficiente, esta identificación a través de la lectura del símbolo se debe realizar a una velocidad considerable y también a una cierta distancia, de forma que las dimensiones del símbolo deben ser mayores. 
También existe la posibilidad de realizarlo de forma semiautomática, esto es, la identificación de mercancía a través del código de barras, pero con la intervención de operarios que realizan el proceso de lectura con lectores o terminales portátiles de códigos de barras. En este sector, para agilizar el proceso debido a la gran cantidad de movimientos de mercancía que se producen,
se le debe facilitar la gestión del proceso a los operarios, de forma que, por ejemplo, no se deban bajar de la carretilla elevadora y realizar la lectura del símbolo que identifica una agrupación o un palet. En el resto de sectores, no es habitual que se produzcan lecturas totalmente automáticas ni a distancias considerablemente elevadas. Por ejemplo, en el sector hospitalario, la identificación de productos a través del código de barras no se debe realizar a distancia ni a una velocidad considerable, y además los productos pueden ser de dimensiones muy reducidas (ej. bisturí, unidosis, etc.). Por esta razón, se puede permitir un rango de dimensiones más amplio, pudiéndose imprimir los símbolos con unas dimensiones menores que en Gran Consumo. Si en cualquier caso, en un sector diferente a Gran Consumo, se necesita mayor agilidad en el proceso de identificación, se deberá tender hacia unas dimensiones como las de Gran Consumo. 
2.4 Ubicacion del codigo de barras en el producto. El símbolo GTIN-13 EAN-13 debe colocarse  sobre la base del diseño natural del producto. La "base del diseño" es la base sugerida por la forma del envase y su grafismo. En funcion de esta ubicación:
• Si la base del diseño no está disponible para ser impresa/etiquetada, el símbolo debe ubicarse sobre el reverso del diseño natural, y cerca de la base.
• Los símbolos, incluyendo los márgenes claros y los caracteres numéricos, se deben imprimir/etiquetar en aquellas áreas que estén libres de recubrimientos, solapamientos,
pliegues o curvas cerradas de menos de 5 mm. 

• Si el producto está empaquetado en un "envoltorio aleatorio" (aquel en que el envase no tiene un registro de corte), es necesario que se asegure que un símbolo completo aparezca en el envase.
• Es importante tener en cuenta que la orientación del símbolo sobre el envase depende del proceso de impresión empleado (tipo de impresión, orientación, etc.). Si no se tiene en cuenta pueden aparecer defectos de impresión (engrosamientos de barra), que pueden dificultar la lectura al primer intento del símbolo.
• Ubicar un símbolo cerca de la arista de un producto, cubierto por un pliegue de termosellado, en una superficie irregular, etc. es hacer méritos para que el código no pueda ser leído correctamente.

No se recomienda la existencia de más de un símbolo diferente y legible identificando el mismo GTIN o código EAN (por ejemplo, si se codifica una agrupación con un GTIN-13 (EAN-13), no es recomendable en una unidad, simbolizarla con EAN-13 e ITF-14 a la vez. En caso de duda se recomienda consultar a sus clientes el tipo de sistema de captación que tiene,contemplando la posibilidad de dobles simbologías,y evitando así posibles problemas de lectura.
Sólo en el caso de artículos muy pesados o voluminosos, y también en el caso de que el producto tenga un “envoltorio aleatorio” (aquél en que el envase no tiene un registro de corte), está permitido incluir dos o más símbolos iguales.

Para el caso de agrupaciones, es recomendable identificarla en dos caras adyacentes.
El extremo inferior del símbolo deberá estar a una distancia de 32 mm de la base de la agrupación y a 19 mm mínimo de la arista vertical (incluyendo los márgenes claros). Las barras
y los espacios deben ser perpendiculares a la base sobre la cual se coloca la unidad logística. 


3. Simbología GTIN-14,  EAN14 o DUN14 (unidad de agrupación) a veces llamado por su simbología (ITF14). Este código llamado por cualquiera  de las anteriores nomeclaturas, codifica una agrupación. Puede grafiarse mediante cuatro simbologías estándares, que son EAN-13, ITF-14, GS1-128 (EAN-128) y UPC-A (productos dirigidos a EEUU y Canadá). No se recomienda identificar una misma agrupación mediante dos simbologías diferentes, ya que esto prestaría a confusión. Es decir, un operario no conocedor de las simbologías, observa dos símbolos diferentes, de forma que realiza la lectura de los dos. Esto supone que la misma agrupación puede ser identificada dos veces, produciéndose la entrada en el sistema de dos agrupaciones en lugar de una. Existen en la actualidad plataformas de recepción de mercancías que contemplan el caso de dobles simbologías. Recomendamos consultar a sus clientes para conocer el comportamiento del sistema ante este caso.

Existe total flexibilidad para la codificación y simbolización de una agrupación, pudiéndose realizar con EAN-13 o con EAN-14 o con GS1-128 (EAN-128) (Identificador de aplicación 01). La única premisa es que si esta agrupación es susceptible de ser leída en el punto de venta detallista, el código y símbolo a utilizar deberá ser OBLIGATORIAMENTE un EAN-13 (o UPC-A si es para EEUU y Canadá)

El cartón ondulado es el substrato (material sobre el que se imprime) más utilizado para conformar las cajas de productos (agrupaciones). De hecho, la razón fundamental para decantarse por el símbolo ITF-14 para identificar agrupaciones, es que esta simbología es la que ofrece mejor calidad impresión directa sobre el cartón ondulado.

La nomenclatura estándar para el GTIN-14 o código EAN-14, es GTIN-14, y para el símbolo es ITF-14. No obstante, pueden aparecer en algunas publicaciones nomenclaturas tales como DUN-14, Interleaved, 2/5, 2 OF 5, SSCC-14, JAN-14, etc, pero que realmente se asocian al código GTIN-14 o a su símbolo ITF-14.

Estructura del código GTIN-14.

El código GTIN-14 (EAN-14) para agrupaciones tiene como base el código GTIN-13 (EAN-13) de la unidad contenida en su interior. La estructura del código es la siguiente: 
VARIABLE LOGÍSTICA + CÓDIGO EAN-13 SIN DÍGITO DE CONTROL + DÍGITO CONTROL (RECAL.EAN-14).  

La variable logística es un dígito colocado delante del código GTIN-13 (EAN-13) de la unidad del interior. Esta variable logística es utilizada para generar diferentes códigos GTIN-14 (EAN-14) e identificar de forma única y no ambigua los diferentes niveles de agrupación de producto. Puede adquirir los valores de 1 a 8 (ambos inclusive). Otra de las posibilidades que ofrece el símbolo ITF es la de utilizar el 0 como variable logística.
Este 0 como variable logística, indica que la agrupación está codificada mediante un GTIN-13 (EAN-13), pero que se escoge la simbología ITF, por ejemplo porque se está imprimiendo sobre cartón ondulado. No olvidemos que la simbología ITF es la que ofrece mejor calidad de impresión sobre este substrato. La razón por la que se incluye el 0 es que para generar un símbolo ITF-14 es que se precisa disponer de un número par de dígitos, de forma que si el código es un GTIN-13 (EAN-13), para completar los 14 dígitos se debe incluir el 0 al inicio, que es el dígito que no produce un cambio en el dígito de control.
Es importante tener en cuenta que el código GTIN-13 (EAN-13) de la unidad del interior debe ser diferente que el código GTIN-13 (EAN-13) de la agrupación.

En este ejemplo figura el mismo código GTIN-13 representado mediante EAN-13 e ITF-14.  El marco de impresión de impresión o recuadro que aparece alrededor del símbolo permite la funcionalidad de:
• Evitar la lectura parcial del símbolo.
• Reducir las desviaciones de las barras que pueden producirse durante el proceso de impresión.
De este marco o recuadro de impresión, son obligatorias las barras superior e inferior, y opcionales las barras laterales. Si sólo aparecen las barras superior e inferior, se debe tener mayor cuidado y respetar los márgenes claros, libres de textos, ilustraciones, etc.

En el caso de impresión industrial, las barras laterales son las que reducen las desviaciones de impresión de las barras del símbolo, por lo que, en este tipo de impresión, son muy recomendables. En este caso, la anchura del marco de impresión debe ser de 4.8 mm. o en caso de impresión en etiqueta es de 2 veces la anchura de la barra más estrecha.

Ubicación del simbolo. Es muy recomendable identificar la agrupación en dos caras adyacentes.
Las barras y los espacios deben ser perpendiculares a la base sobre la cual se coloca
la unidad logística.
Los extremos inferiores de las barras del símbolo deben estar, de ser técnicamente posible, a una distancia de 32 mm. del borde inferior de la cara que lleva el símbolo impreso.
Se puede ubicar el símbolo en cualquier posición dentro de la banda horizontal definida
en la anterior recomendación y siempre respetando las distancias, tanto a la base de la caja como a las aristas verticales.
Bajo ninguna circunstancia la zona interior de las barras laterales del marco de impresión puede estar a menos de 19 mm. (incluyendo los márgenes claros) de las aristas verticales de la caja.

Evidentemente, el símbolo debe estar ubicado de forma que no aparezca cubierto por retráctiles, precintos, termosellados, etc.
La ubicación recomendada del símbolo ITF-14 en agrupaciones es la siguiente:

(Dependiendo no obstante, de las dimensiones de la agrupación)

4 Simbologia GS1-128 (antes llamado EAN-128 debido al cambio en la organización EAN al pasarse a denominar GS1). Se utiliza para la identificación de las unidades de expedición  para todo tipo de mercancías y bultos en cualquiera de sus formatos de embalaje o transporte. Es un sistema estandarizado a nivel internacional, para la identificación de la mercancía en los entornos logisticos que permite la transmisión de datos relativos a los productos de una forma común a todos los agentes de la cadena de suministro. Tiene como ventajas:

a)Identifica las unidades logísticas con las características asociadas a éstas.

b)Garantiza la trazabilidad y seguimiento del producto a lo largo de toda la cadena de suministro.

Una etiqueta GS1-128 (EAN-128) debe tener obligatoriamente los siguientes campos:

• Razón social de la empresa.

• Información humanamente legible.

• Símbolo/s.

Toda la información que se vaya a representar en barras, puede ubicarse en una o más líneas de símbolos. Con el requisito indispensable de que toda información representada en barras debe figurar como información humanamente legible, ADEMÁS DE BAJO EL CÓDIGO DE BARRAS, con el fin de facilitar la introducción de los datos en caso de fallo del sistema de lectura, de forma que el operario no deba conocer cuál es el significado de cada identificador de aplicación. Anagrama o Razón social de la empresa Información humanamente legible a título de ejemplo veamos esta muestra:







Zona de Símbolos, identidicación de un QRcode

 
¿Qué son los codigos Bidi?  Estos codigos de barras 2D o bidimensionales, son capaces de almacenar no solo datos sino información. Existen diferentes simbologías. El QR code es muy común y de hecho  es el código bidimensional más popular, aparece en publicaciones y es utilizado desde su creación, en 1994 por Denso (subsidiaria de Toyota), en una gran variedad de industrias. Por ejemplo: para administración de inventarios, para la incorporación de información adicional en dispositivos, y dado que, muchos teléfonos moviles pueden leerlos a través de la camara, ello ha permitido nuevos usos orientados al consumidor, que se manifiestan en comodidades como el dejar de tener que introducir datos de forma manual en los teléfonos. Por ejemplo, entrar las direcciones y los URLs, se están volviendo cada vez más comun en revistas y anuncios. El agregado de códigos QR en tarjetas de presentación también se está haciendo común, simplificando en gran medida la tarea de introducir detalles individuales de un nuevo cliente en la agenda de un teléfono móvil (sólo es preciso utilizar el software de reconocimiento apropiado), que descodifica la informacion que transportan esas matrices de puntos.   Se caracteriza por los tres cuadrados que se encuentran en las esquinas y que permiten detectar la posición del código al lector. A diferencia de los 1D, sólo son leidos por lectores de codigo de barras 2D, imagers (o cámaras con software de reconocimiento).

 ¿Qué es el RFID?
La Identificación por Radio Frecuencia es una tecnología en crecimiento que utiliza frecuencias de radio para reconocer productos. El RFID es por excelencia un transportador de información que complementa a las herramientas estándares GS1 existentes hasta el momento.

Está compuesto por un lector que emite una señal en una frecuencia predeterminada a todos los tags (etiquetas) de RFID contenidos en su rango de alcance. A su vez estos tags devuelven por medio de ondas de radio, una señal que contiene información. Ambos, el lector y los tags, se comunican por medio de campos electromagnéticos creados por una antena.
De las numerosas ventajas que las empresas pueden obtener utilizando esta tecnología surgió la necesidad de crear un estándar que fuera respetado en todo el mundo y permitiera asegurar que la tecnología utilizada por la empresa A fuese totalmente compatible con la utilizada por la empresa B. Este estándar es el Código Electrónico de Producto (o EPC según sus siglas en inglés).

EPC  El Código Electrónico de Producto (EPC™) es la próxima generación en la identificación de productos. Como el código de barras (GS1), el EPC está compuesto por números que identifican al fabricante, producto, versión y número de serie. Pero el EPC utiliza un conjunto adicional de dígitos para identificar artículos únicos y singulares. El EPC es la única información almacenada en la etiqueta EPC. Esto permite que el costo se mantenga bajo y proporciona mayor flexibilidad, ya que es posible asociar una cantidad infinita de datos dinámicos con un número seriado en la base de datos.

Para implementar esto fisicamente se utilizan las etiquetas RFID, como el par de ejemplos  que adjuntamos a continuación y pueden utilizarse en los equipos TOSHIBA RFID Ready, grabandose de forma dinámica (para Europa los modulos lectura y grabación operan en la banda UHF a 869.5 MHz). Existen modulos para distintas frecuencias segun etiquetas a utilizar la inferior derecha por ejemplo, opera en la banda HF a 13.56 MHz.) 



La RFID  ha estado sujeta a una constante revisión de normas. Las que regulan la identificación automática mediante RFID para los objetos (RFID para gestión de items), y en particular las relativas a los protocolos de comunicaciones. Estas normas son emitidas por el subcomité SC31 del JTC1 (JointTechnical Committee 1). El JTC1 es un comité constituido a partir del ISO y del lEC. El protocolo de comunicación es el lenguaje utilizado entre los lectores y las etiquetas para entenderse entre sí. Como todos los lenguajes cuenta con una vocabulario y una sintaxis, que se ocupa de las instrucciones y los datos contenidos en la etiqueta.

ISO/lEC 18000: Information Technology - Automatic Identification and Data Capture Techniques - RFID for item Management - Air Interface.
Estas normas se reparten por frecuencia. Se distinguen entre: ISO/lEC 18000-1 Part 1 Generic Parameters for Air Interface - Communication for Globally Accepted Frequencies. Sometida a votación FCD (Final Comité Draft), penúltima etapa del procedimiento de normalización.

ISO/lEC 18000-3 Part3 Parameters for Air Interface Communications at 13,56 MHz. Sometida a votación FCD (Final Comité Draft), penúltima etapa del procedimiento de normalización.
Nota: se utilizan dos modos. El modo 1 derivado de la norma 15693 para las tarjetas sin contacto, y el modo 2, derivado de la tecnología desarrollada por la compañía Magellan Technology (Australia), en particular de su tecnología patentada PJM (Phase Jitter Modulation), que permite una velocidad de transmisión de datos de 100 a 400 veces más rápido que otros sistemas RFID a 13,56 MHz, y que ha sido publicada en Agosto de 2004 como estándar ISO 18000-3 Mode 2. Con este propósito Magellan ha desarrollado dos tipos de tag: el PJM ltemTag@, para la identificación y la escritura muy rápida sobre tags puestos a su vez sobre muchísimos objetos, y el PJM StackTag@, para la identificación y escrituras rápidas sobre tags puestos en miles de documentos, incluso en contacto unos con otros.
Esta última situación, que supera del todo uno de tantos "mitos negativos" de la RFID, que es la imposibilidad de leer tags sobrepuestos, y que ha sido la base de la innovadora solución ideada por esta compañía: el lector de fichas en una mesa de casino que figura en la foto adjunta. El modo 1 y el modo 2 no son interoperables entre sí.

ISO/lEC 18000-6 Part6 Parameters for Air Interface Communications at UHF (from 860 to 960 MHz) Nota: Son tres los tipos utilizados. El tipo A utiliza el sistema" Pulse Interval Encoding (PIE) with slotted ALOHA collision arbitration protocol"; el tipo B utiliza el sistema" Manchester Encoding with Binary Tree collision arbitration protocol": el tipo C ha absorbido la propuesta de EPC Global Class 1 Gen2 (sobre EPC véase la siguiente sección). Los tres tipos no son interoperables los unos con los otros.

ISO/lEC 18000-7 Part7 Parameters for Air Interface Communications at 433 MHz (Tecnología desarrollada por el fabricante norteamericano Savi). Ratificada como FDIS (Final Draft International Standard). En trámite de publicación.
No existe la 18000-5 Part 5, Que al principio estaba reservada a la frecuencia de 5,8 GHz, que hasta ahora no se ha solicitado.

ISO/lEC 18000-2 Part2 Parameters for Air Interface Communications below 135 KHz
Nota: se utilizan dos tipos de productos: el tipo A, llamado" Full Duplex" o FDX en 125 KHz, y el tipo ISO/lEC 18000-3 Part3 Parameters for Air Interface Communications at 13,56 MHz. Sometida a votación FCD (Final Comité Draft), penúltima etapa del procedimiento de normalización.
Nota: se utilizan dos modos. El modo 1 derivado de la norma 15693 para las tarjetas sin contacto, y el modo 2, derivado de la tecnología desarrollada por la compañía Magellan Technology (Australia), en particular de su tecnología patentada PJM (Phase Jitter Modulation), que permite una velocidad de transmisión de datos de 100 a 400 veces más rápido que otros sistemas RFID a 13,56 MHz, y que ha sido publicada en Agosto de 2004 como estándar ISO 18000-3 Mode 2. Con este propósito Magellan ha desarrollado dos tipos de tag: el PJM ltemTag@, para la identificación y la escritura muy rápida sobre tags puestos a su vez sobre muchísimos objetos, y el PJM StackTag@, para la identificación y escrituras rápidas sobre tags puestos en miles de documentos, incluso en contacto unos con otros.
Esta última situación, Que supera del todo uno de tantos "mitos negativos" de la RFID, que es la imposibilidad de leer tags sobrepuestos, y que ha sido la base de la innovadora solución ideada por esta compañía: el lector de fichas en una mesa de casino que figura en la foto adjunta. El modo 1 y el modo 2 no son interoperables entre sí.
SO/lEC 18000-4 Part4
Parameters for Air Interface Communications at 2,45 GHz. Sometida a votación FCD (aprobada en Final Comité en 2008).

ISO/lEC 18000-6 Part6 Parameters for Air Interface Communications at UHF (from 860 to 960 MHz) Nota: Son tres los tipos utilizados. El tipo A utiliza el sistema" Pulse Interval Encoding (PIE) with slotted ALOHA collision arbitration protocol"; el tipo B utiliza el sistema" Manchester Encoding with Binary Tree collision arbitration protocol": el tipo C ha absorbido la propuesta de EPC Global Class 1 Gen2 (sobre EPC véase la siguiente sección). Los tres tipos no son interoperables los unos con los otros.

ISO/lEC 18000-7 Part7 Parameters for Air Interface Communications at 433 MHz (Tecnología desarrollada por el fabricante norteamericano Savi). Ratificada como FDIS (Final Draft International Standard). En trámite de publicación.
No existe la 18000-5 Part 5, Que al principio estaba reservada a la frecuencia de 5,8 GHz, que  se ha solicitado en fechas recientes.

¿Interesado en RFID?.

Llamenos o envie un mail:

Podemos brindarle las claves para el éxito en su proyecto RFID.